| 竞拍人 | 方式 | 加价 | 当前 | 时间 |
|---|---|---|---|---|
| 2 | 手动 | 1000 | 78000 | |
| 1 | 手动 | 1000 | 77000 | |
| 2 | 手动 | 1000 | 76000 | |
| 1 | 手动 | 1000 | 75000 | |
| 2 | 手动 | 1000 | 74000 | |
| 2 | 手动 | 1000 | 73000 | |
| 1 | 手动 | 1000 | 72000 | |
| 2 | 手动 | 1000 | 71000 | |
| 1 | 手动 | 1000 | 70000 | |
| 2 | 手动 | 1000 | 69000 |
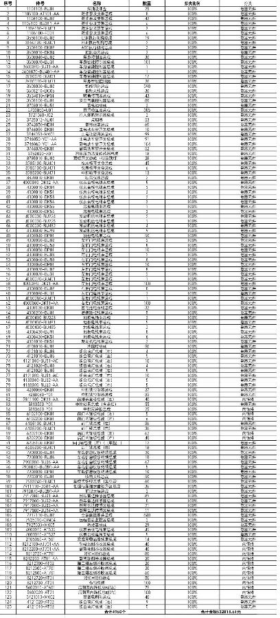
清单如下:


特别提示:
一:参加本次竞价/拍卖人(意向竞买人)应在竞价前现场确认标的物状态,认真阅读并审慎本竞价规则及项目描述内容,在竞价/拍卖前对标的物状态和价值进行自我判定,并在竞价/拍卖过程中审慎出价,竞价/拍卖确认最优出价后不就标的物的品质、价值、用途等要求主持人及委托人承担任何责任。
二:标的物按交接时状态交付,买受人明确并接受标的物交接时可能出现的贬值/变质等现象,并同意承担由于对竞价标的物现状了解不详细或对潜在的风险评估不足等而引起的所有责任后果,并承担因标的物转运,用途,而引起的一切法律及经济责任,并保证以上责任与委托人、主持人再无关联。
三:由于网络的特殊性,网络拍卖平台可能会出现一定的不稳定因素,对于可能出现的系统不稳定现象,平台维护方将按照平台首页通知公告中《拍卖规则》试用版中描述“当异常情形出现后,应立即启动应急预案,暂停拍卖,待网站恢复正常时重新启动拍卖。
四:通过本平台进行网络竞价/拍卖的参拍人,承诺已经对可能发生的系统不稳定情况有充分准备,并放弃因此类故障要求本平台运营方承担任何赔偿责任。
五:未尽事宜请参阅(申请参拍)中详细条款。
苏州鑫安拍卖有限公司
| 竞拍人 | 加价方式 | 加价 | 当前 | 时间 |
|---|---|---|---|---|